和平精英手脚辅助器

两元的和平精英辅助指套

虽然没有具体的信息提供关于两元的和平精英辅助指套的产品,但我们可以根据

  • 154
和平精英的辅助线好用吗

辅助线在《和平精英》中是一个广受欢迎的功能,特别是对于新手玩家来说,是

  • 71
和平精英小绵羊辅助器下载

和平精英小绵羊辅助器是一款旨在提升游戏体验的辅助工具,用户可以通过该工

  • 63
和平精英平板辅助神器设置

首先,和平精英平板辅助神器的设置方法如下: 进入游戏设置 :首先在和平精

  • 77
和平精英真的有辅助器

和平精英确实存在辅助器,这类软件旨在帮助玩家在游戏中获得额外优势,常见

  • 91
和平精英好用的辅助瞄准

在《和平精英》这款游戏中,辅助瞄准功能是一项非常实用的设置,尤其对于新

  • 131
和平精英辅助稳点不封号

在玩《和平精英》这款游戏时,许多玩家希望使用辅助工具来提高游戏体验和战

  • 169
和平精英向日葵除草辅助

和平精英向日葵除草辅助是一种用于提升《和平精英》游戏体验的软件工具,它

  • 127
和平精英辅助键位六指设置

直接给出和平精英辅助键位六指设置的准确答案: 在《和平精英》中,六指操

  • 161
和平精英微信好友辅助验证

关于和平精英微信好友辅助验证,玩家在遇到账号封禁后,通常需要借助好友的

  • 121
和平精英科学技能辅助设置

要设置《和平精英》的科学技能辅助,玩家需要了解相关的功能和优势。科学技

  • 115
和平精英辅助瞄准攻略图

和平精英辅助瞄准功能是游戏中一项重要的设置,对于新手玩家尤其有帮助。本

  • 176
和平精英六指神器辅助设置

和平精英六指神器辅助的设置是许多玩家提高游戏水平的关键。以下是关于如何

  • 102
和平精英KG辅助破解版

和平精英KG辅助破解版是一款广受玩家欢迎的游戏辅助工具,旨在提升玩家在《

  • 126
和平精英辅助开镜打仓库

在《和平精英》中,辅助开镜是一项常用技巧,特别是在参加仓库模式时,能够

  • 64
和平精英辅助小霸王官网

和平精英辅助小霸王官网是专为《和平精英》这款人气手游设计的多功能辅助工

  • 88
和平精英黑科技免费辅助

关于和平精英黑科技免费辅助的文章,涉及功能与使用方式等方面的内容。本文

  • 103
准星辅助器和平精英软件

准星辅助器是专门为射击类游戏玩家设计的一种辅助工具,旨在提高游戏中的瞄

  • 118
和平精英官方允许的辅助

和平精英是一款备受欢迎的多人在线战术射击游戏,许多玩家关注官方对辅助工

  • 56
和平精英如何解锁辅助器

和平精英的辅助器为玩家提供了提升游戏体验的可能性,尤其是想要改善画面质

  • 191
和平精英无极辅助怎么开

要开启和平精英无极辅助,通常需要按照以下步骤进行操作。本文将详细介绍如

  • 82
和平精英辅助用户名是什么

和平精英辅助的用户名可以根据不同的辅助平台有所不同。不同的辅助工具会要

  • 84
pubg无后座辅助文件

PUBG无后座辅助文件是指在《绝地求生》游戏中用于减少或消除玩家武器后坐力

  • 104
和平精英最新浪客辅助软件

和平精英最近推出了一款名为浪客辅助的软件,旨在帮助玩家在游戏中获得更好

  • 55
和平精英辅助直装免费软件

和平精英辅助直装免费软件是一类用于提高《和平精英》游戏体验的第三方工具

  • 103
和平精英的辅助菜单在哪

和平精英中的辅助菜单主要位于游戏内的设置界面。玩家可以通过点击菜单按钮

  • 172
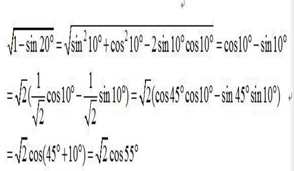
和平精英辅助角公式数学

辅助角公式是三角函数中的一个重要工具,广泛应用于数学分析和应用问题中。

  • 103
和平精英新官方出辅助

《和平精英》近期推出了新的官方辅助功能,旨在提升玩家的游戏体验并增强公

  • 89
和平精英辅助器 手柄下载

和平精英是一款备受欢迎的手机游戏,许多玩家希望通过使用辅助器和手柄来提

  • 89
和平精英项羽辅助怎么用

项羽在《和平精英》中是一位具有较强辅助能力的角色,尤其在团队作战中发挥

  • 144
和平精英fun辅助app

和平精英Fun辅助APP是一款旨在提升《和平精英》游戏体验的辅助工具,它所在的

  • 87
和平精英手柄辅助器软件

和平精英手柄辅助器软件是一种专为《和平精英》游戏设计的辅助工具,旨在提

  • 146
和平精英有辅助器的操作

在《和平精英》中,有些玩家使用辅助器来增强游戏体验和提升战斗能力。辅助

  • 64
和平精英6倍ak 压枪教学

为了在《和平精英》中有效地使用6倍镜的AK进行压枪,掌握一定的技巧是非常重

  • 180
和平精英推荐好用的辅助器

关于《和平精英》推荐好用的辅助器 随着《和平精英》的不断发展,越来越多

  • 107
和平精英破解版辅助免费

和平精英是一款备受欢迎的多人在线射击游戏,许多玩家在追求游戏乐趣和竞争

  • 167
和平精英如何慢动作压枪

和平精英是一款受欢迎的战术射击游戏,在这款游戏中,压枪是玩家非常重要的

  • 86
和平精英压枪压不怎么好

在《和平精英》中,压枪技巧是提升玩家射击精度和生存能力的关键。然而,许

  • 117
三哥和平精英辅助是谁啊

三哥和平精英辅助是中国网络直播平台上的一位知名人物,真实姓名为谢志乐。

  • 167
安卓辅助和平精英软件下载

安卓辅助软件在提升《和平精英》的游戏体验中扮演着重要角色。在这里,我们

  • 66
和平精英鲨鱼直装辅助

和平精英中的鲨鱼直装辅助是一种游戏辅助工具,主要用于增强玩家的游戏体验

  • 108
黄蜂2和平精英压枪教程

黄蜂2手柄在《和平精英》游戏中被广泛使用,尤其是在进行压枪时,其精准度

  • 137
雷龙压枪和平精英参数

雷龙压枪在游戏《和平精英》中的参数设置主要包括压枪的各个阶段调整值。这

  • 136
和平精英帮助压枪软件

关于和平精英帮助压枪软件的文章 在《和平精英》这款备受欢迎的射击游戏中

  • 59
全网最牛的和平精英辅助

在全网各类和平精英辅助工具中,有一些凭借其卓越的功能与用户口碑,成为了

  • 149
和平精英里的准星辅助

和平精英中,准星辅助是许多玩家使用的一种工具,旨在提高游戏中的瞄准精度

  • 196
和平精英辅助防封引擎号

和平精英辅助防封引擎号是为了在游戏《和平精英》中帮助玩家避免账号被封禁

  • 143
和平精英ak直装绘制辅助

和平精英AK直装绘制辅助是一种为《和平精英》游戏玩家设计的辅助工具,旨在

  • 67
和平精英老六怎么压枪最稳

在《和平精英》中,掌握压枪技巧是提高射击准确率和生存能力的关键。尤其是

  • 187
和平精英何如压枪视频

在《和平精英》中,压枪技巧是每个玩家提升枪械控制能力的关键。通过掌握正

  • 81
和平精英红点怎么压枪

在《和平精英》中,使用红点瞄准器压枪是提升射击精度的重要技巧。红点瞄准

  • 115
和平精英鼠标宏设置压枪

和平精英是一款广受欢迎的射击游戏,玩家在游戏中需要通过多种技巧来提高自

  • 143
和平精英流畅度变高辅助器

和平精英流畅度变高辅助器是一种旨在提升游戏运行流畅性的工具,帮助玩家优

  • 125
和平精英什么叫辅助瞄准

辅助瞄准是《和平精英》游戏中的一项功能,它通过系统的辅助机制帮助玩家在

  • 80
和平精英辅助器外设四指

和平精英是近年来备受欢迎的战术竞技手游,而在这款游戏中,如何提高自己的

  • 193
和平精英美国压枪王怎么玩

压枪在《和平精英》中是提高游戏水平的重要技巧之一,尤其是“美国压枪王”

  • 53
和平精英辅助套餐有什么用

和平精英辅助套餐的主要用途是提供各种游戏内的辅助功能,帮助玩家优化游戏

  • 137
和平精英国际版怎么压枪

在《和平精英国际版》游戏中,压枪是一项非常重要的技巧,能够显著提升玩家

  • 94
和平精英压枪慢怎么调整

在《和平精英》这款游戏中,许多玩家可能会遇到压枪不稳的问题。压枪慢即是

  • 148
和平精英最舒服的辅助

和平精英是一款受欢迎的战术竞技手游,很多玩家为了追求更加顺畅和愉快的游

  • 133
和平精英自瞄透视辅助器

和平精英自瞄透视辅助器是一种为《和平精英》游戏玩家提供的辅助工具,旨在

  • 94
卡盟和平精英辅助资源下载

关于卡盟和平精英辅助资源下载的文章 在《和平精英》中,游戏辅助工具逐渐

  • 197
和平精英魔神之战辅助下载

和平精英魔神之战辅助下载是一款为手游《和平精英》提供了多种游戏外挂功能

  • 201
和平精英修罗辅助软件下载

要下载和平精英修罗辅助软件,可以按照以下步骤进行: 和平精英修罗辅助软

  • 163